周一 ~ 周五 9:00-17:00
021-63537111
?*、水分控制的重要性
藥品能夠發揮藥效和安全用藥,離*開藥品固有屬性穩定性,穩定性的因素有很多,比如水分的控制;
①保持藥材適當的水分***可以保持中藥材的藥效(如帶揮發性葉類藥材),
②保持藥品*定的水分,能夠增加藥品穩定(如水合物,增加晶格穩定);**二有**于儲存。合理的水分在貯藏保管中可防止生蟲、霉變,避免有效成份分解、酶解變質等。
水分存在方式:游離水、結合水。
二、水分測定相關工作內容
(1)藥典產品檢查水分確認產品相關信息
1.產品類別信息:化學原料藥(API)、化學藥制劑、化學輔料、中藥材、中藥制劑;
2.產品含量計算形式:A按干燥品計算、B按*水物計算、C按*水與*溶劑物計算;
3.信息列比表:
4.1烘干法:4.藥學檢測工作常用水分測定方法列比表:
4.1.1適用產品:中藥材、提取物、制劑
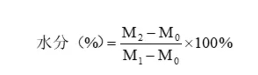
4.1.2檢測操作要點: ①儀器:恒溫干燥箱、電子天平、干燥器; ②取樣量2-5g;樣品直徑或長度*超過3mm;平鋪稱量瓶厚度*超過5mm; ③100-105℃進行干燥5小時,放冷時間30分鐘,再恒重干燥1小時處理至恒重; ④恒重標準:≤5mg。
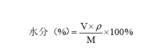
4.2甲苯法:
4.2.1適用產品:中藥材、提取物
4.2.2檢測操作要點: ①儀器:甲苯法儀器裝置(清潔干燥); ②取樣量2-5g置于500ml圓**燒瓶,加入200ml甲苯(除水/分子塞); ③關鍵調節溫度使2滴/分鐘; ④使用甲苯將器具壁上水合并。
4.3費休容量滴定法:
4.3.1適用產品:化學原料藥(API)、化學液體輔料、化學藥制劑
4.3.2檢測操作要點: ①儀器:水分測定儀、電子天平; ②水分標定:稱取純化水10mg~30mg,平行標定3次,取3次標定值平均值為**標定值F;3次水分標定值RSD%*得過1.0%; ③控制滴定儀各個管路接口與空氣接觸;④樣品測定:平行檢測2次。
4.4費休庫倫滴定法:
4.4.1適用產品:化學原料藥(API)、化學液體輔料、化學藥制劑
4.4.2檢測操作要點:①儀器:庫倫水分滴定儀、電子天平; ②滴定杯*進行除水分(消耗電量); ③樣品測定:平行檢測2次。
5.水分檢測分析方法:費休氏-容量滴定法、費休氏-庫倫滴定法、烘干法、減壓干燥法、甲苯法、氣相色譜法
6.4減壓干燥法:**用抽真空(抽氣減壓至2.67kPa(20mmHg))將表面水分隔離與內部水分形成濃度差,形成壓差迅速干燥過程,適合 水分很難除盡,且含揮發性成分。
6.5甲苯法:水分隨甲苯餾出且水與甲苯*相溶。
8.方法操作與計算:






四、容量滴定法與庫倫滴定法對比
